高级检索

    一种跨区域跨评分协同过滤推荐算法

    A Cross-Region and Cross-Rating Collaborative Filtering Recommendation Algorithm

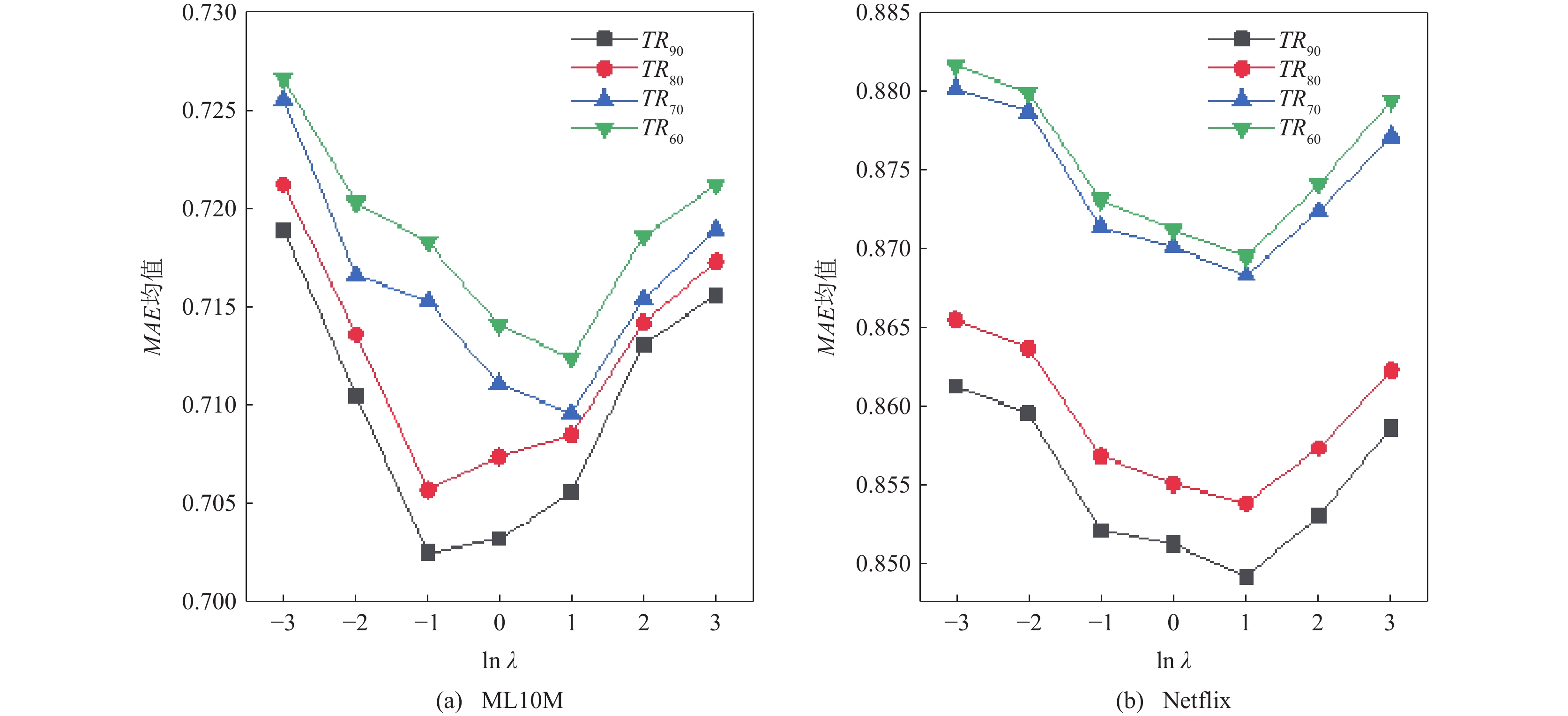
    • 摘要: 传统跨评分协同过滤范式忽视了目标域中评分密度对用户和项目隐向量精度的影响,导致评分稀疏区域评分预测不够准确. 为克服区域评分密度对评分预测的影响,基于迁移学习思想提出一种跨区域跨评分协同过滤推荐算法(cross-rating collaborative filtering recommendation algorithm,CRCRCF),相对于传统跨评分协同过滤范式,该算法不仅能有效挖掘辅助域重要知识,而且可以挖掘目标域中评分密集区域的重要知识,进一步提升目标域整体,尤其是评分稀疏区域的评分预测精度. 首先,针对用户和项目,分别进行活跃用户和非活跃用户、热门项目和非热门项目的划分. 利用图卷积矩阵补全算法提取目标域活跃用户和热门项目、辅助域中全体用户和项目的隐向量. 其次,对活跃用户和热门项目分别构建基于自教学习的深度回归网络学习目标域和辅助域中隐向量的映射关系. 然后,将映射关系泛化到全局,利用非活跃用户和非热门项目在辅助域上相对较准确的隐向量推导其目标域上的隐向量,依次实现了跨区域映射关系迁移和跨评分的隐向量信息迁移. 最后,以求得的非活跃用户和非热门项目在目标域上的隐向量为约束,提出受限图卷积矩阵补全模型,并给出相应推荐结果. 在MovieLens和Netflix数据集上的仿真实验显示CRCRCF算法较其他最先进算法具有明显优势.

       

      Abstract: Traditional cross-rating collaborative filtering paradigm ignores the influence of rating density in the target domain on the accuracy of user and item latent vectors, resulting in less accurate rating prediction in regions with sparse ratings. To overcome the influence of regional rating density on rating prediction, based on the thought of transfer learning, a cross-region and cross-rating collaborative filtering recommendation algorithm (CRCRCF) is proposed. Compared with the traditional cross-rating collaborative filtering paradigm, CRCRCF algorithm can effectively exploit not only the important knowledge from the auxiliary domain, but also the important knowledge from the rating-dense regions in the target domain, which can further improve the rating prediction accuracy of the whole target domain, especially the rating-sparse regions. Firstly, for users and items, active users and inactive users, popular items and unpopular items are divided respectively. Graph convolution matrix complementation algorithm is used to extract the latent vectors of active users and popular items in the target domain and all users and items in the auxiliary domain. Secondly, for users and items in rating-dense regions, deep regression models based on self-taught learning are constructed to learn the mapping relationships between latent vectors in the target domain and in the auxiliary domain, respectively. Then the mapping relationships are generalized to the whole target domain, and the relatively accurate latent vectors of inactive users and unpopular items in the auxiliary domain are used to derive their latent vectors in the target domain, which achieves the cross-region mapping relationships transfer and cross-rating latent vector information transfer successively. Finally, the restricted graph convolutional matrix completion model is proposed with the obtained latent vectors of inactive users and non-popular items in the target domain as constraints, and the corresponding recommendation results are given. The simulation experiments on MovieLens and Netflix datasets show that the CRCRCF algorithm has obvious advantages over other state-of-the-art algorithms.

       

    /

    返回文章
    返回