高级检索

    因果机器学习的前沿进展综述

    Overview of the Frontier Progress of Causal Machine Learning

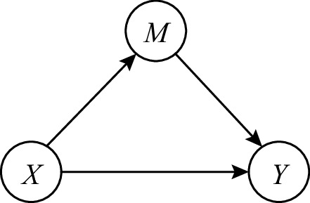
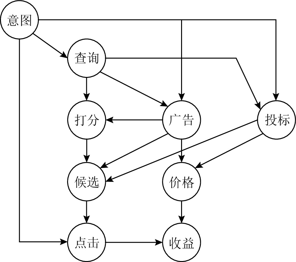
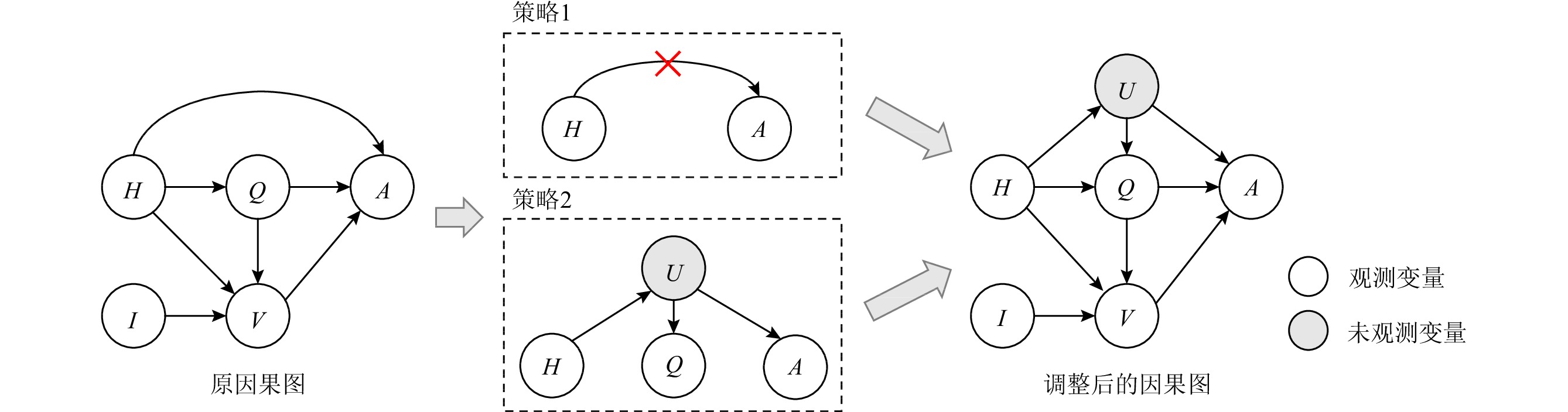
    • 摘要: 机器学习是实现人工智能的重要技术手段之一,在计算机视觉、自然语言处理、搜索引擎与推荐系统等领域有着重要应用.现有的机器学习方法往往注重数据中的相关关系而忽视其中的因果关系,而随着应用需求的提高,其弊端也逐渐开始显现,在可解释性、可迁移性、鲁棒性和公平性等方面面临一系列亟待解决的问题.为了解决这些问题,研究者们开始重新审视因果关系建模的必要性,相关方法也成为近期的研究热点之一.在此对近年来在机器学习领域中应用因果技术和思想解决实际问题的工作进行整理和总结,梳理出这一新兴研究方向的发展脉络.首先对与机器学习紧密相关的因果理论做简要介绍;然后以机器学习中的不同问题需求为划分依据对各工作进行分类介绍,从求解思路和技术手段的视角阐释其区别与联系;最后对因果机器学习的现状进行总结,并对未来发展趋势做出预测和展望.

       

      Abstract: Machine learning is one of the important technical means to realize artificial intelligence, and it has important applications in the fields of computer vision, natural language processing, search engines and recommendation systems. Existing machine learning methods often focus on the correlations in the data and ignore the causality. With the increase in application requirements, their drawbacks have gradually begun to appear, facing a series of urgent problems in terms of interpretability, transferability, robustness, and fairness. In order to solve these problems, researchers have begun to re-examine the necessity of modeling causal relationship, and related methods have become one of the recent research hotspots. We organize and summarize the work of applying causal techniques and ideas to solve practical problems in the field of machine learning in recent years, and sort out the development venation of this emerging research direction. First, we briefly introduce the closely related causal theory to machine learning. Then, we classify and introduce each work based on the needs of different problems in machine learning, explain their differences and connections from the perspective of solution ideas and technical means. Finally, we summarize the current situation of causal machine learning, and make predictions and prospects for future development trends.

       

    /

    返回文章
    返回