高级检索

    面向分片许可链的无协调者跨片交易处理

    A Coordinator-Free Cross-Shard Transaction Execution for Sharded Permissioned Blockchains

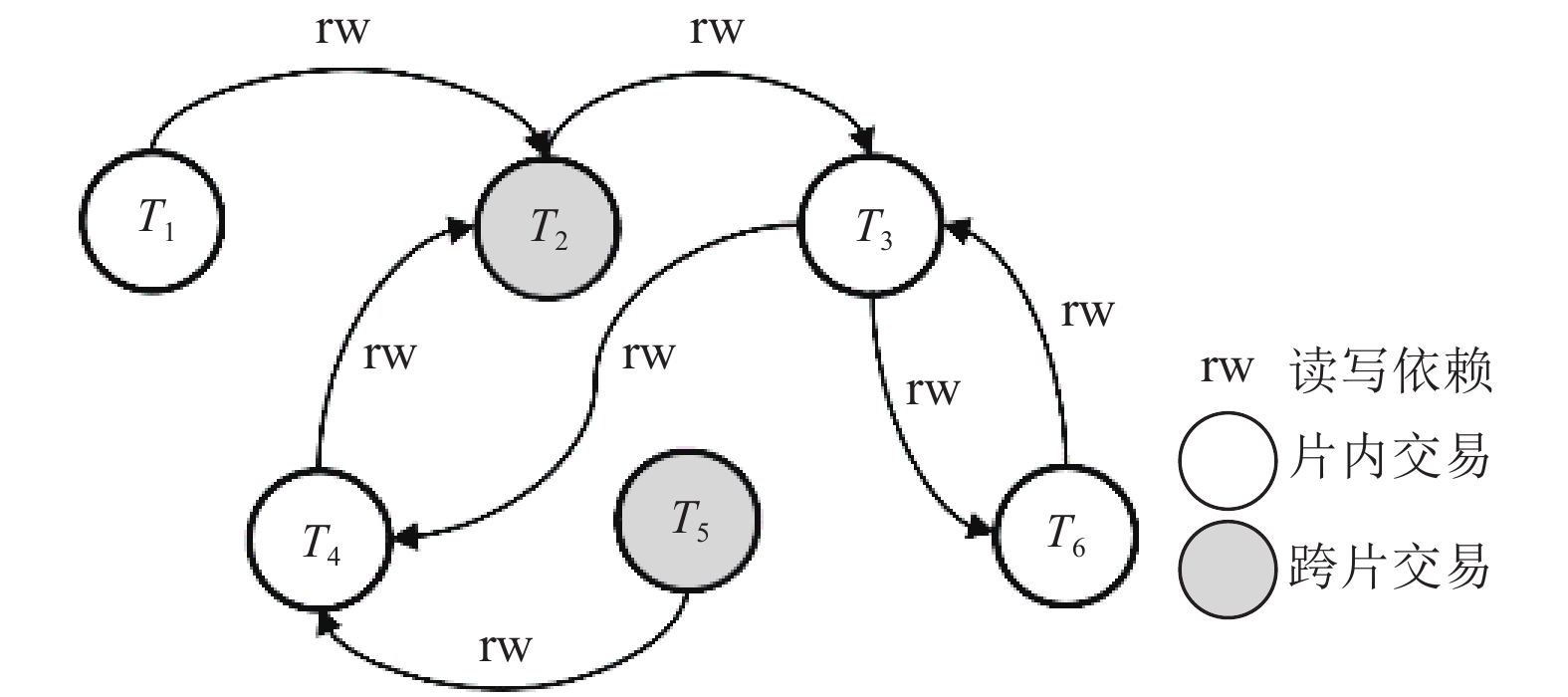
    • 摘要: 区块链作为一种防篡改、去中心化的分布式系统引起了学术界和工业界的极大关注. 然而,传统区块链系统的吞吐量较低,且难以扩展到支持大规模系统,这使得其在商业中的应用范围受到限制. 为了解决这些问题,人们尝试利用分片技术把区块链网络分成多个可单独执行交易的子网,各个子网能够并行执行交易,其性能则可以随子网数成比例提升. 然而,昂贵的跨片交易执行成本阻碍了分片区块链系统性能的进一步提升. 传统的基于两阶段提交的跨片交易执行方法无论在性能上还是扩展性上都无法满足现代产业对大规模系统的需求;同时,这些方法在高冲突负载下的表现不佳,导致跨片交易的延迟急剧增加,严重影响到系统的正常运行. 为了解决此问题,提出了一个针对分片许可链的跨片交易执行方法. 该方法将确定性引入跨片交易执行,避免了额外的协调开销,同时提高了系统执行跨片交易的效率. 此外,该执行方法也配备了抗冲突的交易重排序方法,除了提高跨片执行方法在高冲突的场景下交易处理性能之外,还能优化跨片交易执行中状态传输的效率. 实验结果证明,该方法的吞吐量比基于两阶段提交协议的方法提高1.6~2.5倍;在冲突场景下,相较于优化前系统吞吐量则提高2.9~25倍.

       

      Abstract: Recently, as blockchain technology continues to gain traction in various industries, there is an increasing need to improve the performance of permissioned blockchains in order to accommodate a wide range of applications. Sharding techniques have been proposed to optimize blockchain performance by dividing the network into committees, allowing for parallel transaction execution within each committee. However, the existence of expensive cross-shard transactions hinders the progress of sharded blockchain. Some work attempts to use the two-phase commit(2PC) protocol to process cross-shard transactions. However, these approaches suffer from substantial limitations in terms of performance and scalability, failing to meet the demands of modern industries for large-scale systems. Furthermore, these transactions demonstrate inadequate performance under high conflict scenarios, imposing additional constraints on the overall system performance. In this paper, we propose an approach for executing cross-shard transactions in sharded permissioned blockchains. The approach introduces determinism to the execution of cross-shard transactions, eliminating the need for additional coordination overhead while improving the efficiency of the system. To further improve system throughput, we utilize a transaction reordering mechanism to optimize the execution under conflicts. Experimental results show that our approach offers 1.6 times to 2.5 times higher throughput compared with the 2PC method, and 2.9 times to 25 times higher throughput compared with the non-optimized system in conflict scenarios.

       

    /

    返回文章
    返回